连接体模型是物理学中常见的一种模型。
在力学范畴,它是指两个或多个物体通过一定方式连接在一起的系统。比如,用绳子连接的两个滑块、叠放在一起的木块等。
对连接体模型进行分析,关键是要明确物体之间的连接方式及其相互作用力。如果是通过绳子连接,绳子的拉力就是连接体之间的作用力;若是两物体相互挤压接触,那它们之间会有弹力和摩擦力。
在解决连接体问题时,整体法和隔离法是常用的方法。整体法是把连接体看成一个整体,分析整体受到的外力,这样可以忽略连接体之间的内力,用于求整体的加速度很方便;隔离法是把连接体中的某个物体单独拿出来分析,能求出物体之间的相互作用力。
一:常见连接体模型:
(1)紧靠层叠连接体(共同加速度):两物体通过弹力、摩擦力作用,具有相同的速度和加速度。
(2)轻绳连接体(关联速度):轻绳在伸直状态下,两端的连接体沿绳方向的速度总是相等(关联速度)。
注:某些情形下,沿绳方向加速度不一定相等。
(3)轻杆连接体(关联速度):两端沿杆方向速度相等,轻杆平动时,连接体具有相同的平动速度。

(4)弹簧连接体:在弹簧发生形变的过程中,两端连接体的速度、加速度不一定相等;在弹簧形变最大或最小时,两端连接体沿轴线的速度相等,平动时加速度相等。
二:整体法与隔离法在连接体中的应用
水平地面放置两个物块,两物块在恒定力 F 作用下一起运动,结果两个物块运动状态一致,如图:

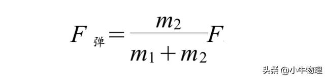
以上情形中,F 一定,两物块间的弹力只与物块的质量有关:

☞先用整体法求出整体的加速度,再用隔离法隔离受力最少的物体,根据运动状态建立牛顿第二定律方程,求出弹力。
内力分配为什么与重力、摩擦力无关?实际上动摩擦因数一样的情况下,摩擦力对两个物体产生的加速度都为μg或者μgcosθ(斜面),相同的加速度,这使得两物体已经相对静止,内力只有按质量的正比例进行分配了。

例题:如图所示,

在粗糙水平面上依次并排紧靠着三个木块1、2、3,已知木块1、2、3的质量分别为m、2m、3m,每个木块与水平面间的动摩擦因数均相同。现用一水平向右的恒力F推木块,使三个木块一起向右做匀加速直线运动,则木块1对木块2的作用力与木块2对木块3的作用力的大小之比为( )
A.3:2 B.5:3 C.2:1 D.3:1
例题:如图所示,

质量均为m的A、B两物块用轻线连接,放在倾角为的斜面上,第一次用始终平行于斜面向上的拉力F拉A,使它们沿斜面匀加速上升;F第二次用始终平行于斜面向下的拉力F拉B,使它们沿斜面匀加速下降,A、B与斜面间的动摩擦因数均为μ。以下说法正确的是( )
A.第一次的加速度大于第二次的加速度
B.第一次的加速度小于第二次的加速度
C.两次运动A、B两物块间的轻线上的拉力相等
D.第二次运动A、B两物块间的轻线上的拉力大
例题:如图所示,

水平桌面上的小物块a通过轻绳跨过光滑定滑轮连接小物块b,物块a与物块b的质量之比为。将物块a从P点由静止释放,1s后到达桌面上距离P点1m的Q点(b未落地),不计空气阻力,重力加速度,则物块a与桌面间的动摩擦因数为( )
A.0.1 B.0.2 C.0.4 D.0.5
例题:如图所示,

系在墙上的轻绳跨过两个轻质滑轮连接着物体P和物体Q,两段连接动滑轮的轻绳始终水平。已知P、Q的质量均为1,P与水平桌面间的动摩擦因数为0.5,重力加速度大小为,当对P施加水平向左的拉力时,Q向上加速运动。下列说法正确的是( )
A.P、Q运动的加速度大小之比为1∶2
B.P的加速度大小为2m/s²
C.轻绳的拉力大小为12N
D.若保持Q的加速度不变,改变拉力F与水平方向的夹角,则力F的最小值为12√5N
例题:如图所示,

甲、乙两名质量分别为m₁和m₂的运动员,各抓住轻质绳的一端(运动员脚未着地),绳子与滑轮间的摩擦不计,滑轮和绳子质量均不计,则( )
A.若m₁>m₂,两运动员紧抓绳子与绳子保持相对静止,乙与绳子间的摩擦力大小为m₂g
B.若m₁>m₂,两运动员紧抓绳子与绳子保持相对静止,绳子中的拉力大于m₁g
C.若m₁=m₂,乙抓住绳子不动,甲抓住绳子由静止开始加速上爬,乙与绳子间的摩擦力大于m₂g
D.若m₁=m₂,乙抓住绳子不动,甲抓住绳子由静止开始加速上爬,且甲、乙距地面初始高度相同,则甲先到达滑轮处
例题:跨过定滑轮的轻绳一端固定在吊板上,另一端连接在一个动滑轮的轴上,跨过动滑轮的轻绳一端固定在吊板上,另一端被吊板上的人拉住,如图所示。

已知人的质量为M=70 kg, 吊板的质量为m=10 kg,绳、定滑轮、动滑轮的质量以及滑轮的摩擦均可不计。重力加速度为g=10 m/s²。当人和板一起以加速度a=1.0 m/s²向上做加速运动时,人对绳的拉力F₁和人对吊板的压力F₂大小分别为( )
A.F₁=400 N,F₂=300 N
B.F₁=400 N,F₂=330 N
C.F₁=440 N,F₂=550 N
D.F₁=220 N,F₂=550 N
例题:如图所示,

轻质动滑轮下方悬挂重物A、轻质定滑轮下方悬挂重物B,悬挂滑轮的轻质细线竖直。A、B从距地为h的同一高度由静止释放,物体落地后不反弹,重物不会与滑轮碰撞。已知重力加速度为g,不计摩擦阻力和空气阻力。
(1)若释放后A、B静止,求A、B的质量之比;
(2)若mA=4mB,求:
①释放瞬间B的加速度大小aB;
②释放后B上升的最大高度hm。
例题:如图所示,

物体A置于水平地面上,B、C叠放,A、B间连有轻质弹簧,弹簧被压缩后用细线把A、B固定住,细线的拉力为F,A、B质量均为2m,C的质量为m,重力加速度为g,整个装置处于静止状态。现将细线剪断,则在剪断细线的瞬间,下列说法正确的是( )
A.C物体的瞬时加速度为0
B.C物体对B物体的压力变小
C.A物体对地面压力为F+5mg
D.B物体的瞬间加速度为F/m
例题:如图所示,

倾角为30°的光滑斜面底端有一挡板,斜面上放置静止AB两物体,其质量分别为mA=0.5kg、mB=1kg,其中物体A与挡板用劲度系数为k₁=100N/m的轻质弹簧1连接,AB之间连接一劲度系数为k₂=500N/m的轻质弹簧2,开始时整个装置静止在斜面上,在B的上端通过一光滑定滑轮连接一质量为mC=0.6kg的物块C,用手托着C使其缓慢下移,直到撤去手后整体处于静止状态。取g=10m/s²,经分析可知()
A.物体A沿斜面运动的距离为0.06m
B.物体A沿斜面运动的距离为0.09m
C.物体B沿斜面运动的距离为0.008m
D.物体B沿斜面运动的距离为0.072m
例题:如图所示,

光滑细铁丝制成的弧形装置固定在竖直面内,圆弧半径为R,圆弧端点A在圆心O的正下方、端点B与圆心O等高,右侧的光滑轻质小定滑轮的上沿D与圆心O也等高。一质量为m的小球(可视为质点)套在弧形装置上,通过跨过滑轮的细线连接着物块甲,轻质弹簧劲度系数为k,两端固定连接在物块甲、乙上。初始时刻、各物体均处于静止状态,∠COB=∠CDB=37°,弹簧竖直且处于原长状态,细线DE足够长且竖直,现对物块甲施加一竖直向上的拉力(图中未画出),使其缓慢上升,直至细线时,物块乙恰好离开地面。弹簧始终在弹性限度内,重力加速度为g=10m/s²,已知sin37°=0.6,求:
(1)物块甲的质量m₁;
(2)当时,细线拉力大小;
(3)物块乙的质量m₂。
转载请注明来自Sjyct,本文标题:《推木块游戏攻略(高一物理连接体问题)》
京公网安备11000000000001号
京ICP备11000001号
还没有评论,来说两句吧...